本站正式发布了《基于物联网的有害气体监测系统的研究》文档,文档详细内容可下载阅读。 声明:本站所有文章,如无特殊说明或标注,均为本站原创发布。任何个人或组织,在未征得本站同意时,禁止复制、盗用、采集、发布本站内容到任何网站、书籍等各类媒体平台。如若本站内容侵犯了原著者的合法权益,可联系我们进行处理。
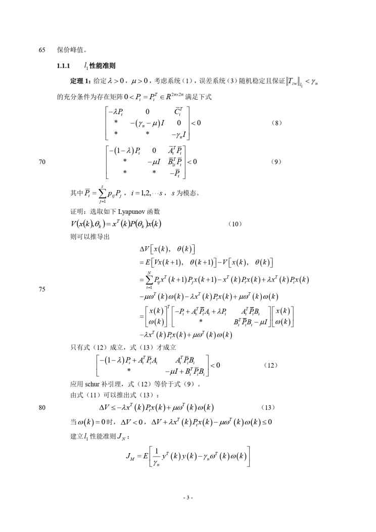
文化教育 网络通信 (物联网)第三届全国中小学教学中的互联网搜索优秀教学案例评选爱心树 本站正式发布了《(物联网)第三届全国中小学教学中的互联网搜索优秀教学案例评选爱心... 2 周前 0 0 72 0